Simak contoh soal limit tak hingga fungsi aljabar bentuk akar . Contoh soal limit tak hingga fungsi aljabar bentuk akar kumpulan soal pelajaran 7. contoh soal limit tak hingga fungsi aljabar bentuk akar kumpulan soal pelajaran 7. contoh soal limit tak hingga fungsi aljabar bentuk akar kumpulan soal pelajaran 7 Simak juga soal tentang soal, dan contoh soal limit tak hingga fungsi aljabar bentuk akar

Contoh Soal Limit Tak Hingga Fungsi Aljabar Bentuk Akar Kumpulan Soal Pelajaran 7


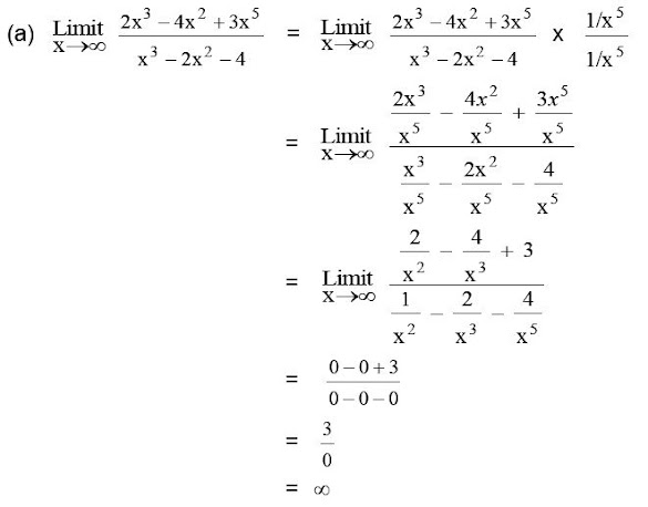
Contoh Soal Limit Tak Hingga Fungsi Aljabar Bentuk Akar Kumpulan Soal Pelajaran 7

Contoh Soal Limit Tak Hingga Fungsi Aljabar Bentuk Akar Kumpulan Soal Pelajaran 7
Contoh Soal Limit Tak Hingga Fungsi Aljabar Bentuk Akar Kumpulan Soal Pelajaran 7

Contoh Soal Limit Tak Hingga Fungsi Aljabar Bentuk Akar Kumpulan Soal Pelajaran 7

Contoh Soal Limit Tak Hingga Akar Per Akar

Limit Fungsi Rumus Macam Dan Contoh Soal
Contoh Soal Limit Tak Hingga

25 Soal Limit Tak Hingga Pilihan Ganda Dan Jawaban Pembahasan Belajar Tak Terhingga Buku
Contoh Soal Limit Akar Tak Hingga Kumpulan Soal Pelajaran 6

Contoh Soal Dan Pembahasan Limit Tak Hingga Fungsi Aljabar Kumpulan Contoh Surat Dan Soal Terlengkap
Contoh Soal Limit Tak Hingga Akar Dan Penyelesaiannya Kumpulan Soal Pelajaran 7
Demikianlah Rincian Contoh Soal Limit Tak Hingga Fungsi Aljabar Bentuk Akar, Contoh soal limit tak hingga fungsi aljabar bentuk akar kumpulan soal pelajaran 7 25 soal limit tak hingga pilihan ganda dan jawaban pembahasan belajar tak terhingga buku limit fungsi rumus macam dan contoh soal contoh soal limit tak hingga akar dan penyelesaiannya kumpulan soal pelajaran 7 contoh soal limit tak hingga fungsi aljabar bentuk akar kumpulan soal pelajaran 7 contoh soal limit tak hingga, semoga bermanfaat.